
古代的電磁觀念
2017年3月
自古以來,人們常在各式各樣事情上以自己為基準和別人比較,這種與基準之間進行定量比較的行為,可說是最原始的「量測」概念。以此一觀點來看,量測的歷史是極為悠久的。雖然電磁量的量測並不似長度、時間和重量等的量測,古代就普及在人類的生活當中。不過,這種肉眼看不到的電和磁,遠在紀元前600年代,已被人發現。
早在對於電有具體認知之前,人們就已經知道電魚 (electric fish) 會發射電擊。根據西元前2750年撰寫的古埃及書籍,這些魚被稱為「尼羅河的雷使者」,是所有其它魚的保護者。紀元前600年時,古希臘哲學家泰勒斯 (Thales) 曾用絲綢摩擦琥珀而吸引羽毛等較輕的東西,這是關於靜電的最初的記錄。琥珀的希臘文為elecktra,即後來電子 (electron) 的語源。泰勒斯從這些觀察中推論摩擦會使琥珀變得磁性化 (即有吸引現象)。不過,這與磁鐵礦的性質大不相同;磁鐵礦具有天然的磁性。泰勒斯的見解雖然不正確,但是後來科學證實磁與電之間有密切的關係。
亞里斯多德也曾提及泰勒斯 (Thales) 是位最早描述磁石磁性的學者,而磁的英文術語“magnetism”傳說是因最早在希臘 (即今土耳其南端) 近愛琴海附近的麥格尼西亞 (Magnesia) 發現許多磁石,而以此地命名。又傳說是一位牧羊少年 (Magnesu) 發現帶有磁性的不可思議石頭,而後即以牧童的名字命名。
在東方古中國,磁性最早出現於公元前4世紀編寫之「鬼谷子」一書中,有記述道:「其察言也,不失若磁石之取鍼,舌之取燔骨」。又紀元前240年的「呂氏春秋」中有寫道「慈石召鐵」是較早的紀錄。
電磁學的發展與量測
很早以前,靜電和雷電已為人所知,不過在18世紀中葉之後,才能真正具體地使用電,且能稍加說明其工作原理。而後19世紀因為電的發展實在令人驚奇,電的原理也被確立,因此被稱為「電的世紀」。到了20世紀,電邁入實用化的時代,同時電的本質開始以量子論闡述之。
1580年前後,英國伊莉莎白女王的御醫、英國皇家科學院物理學家吉伯 (William Gilbert) 開始對於電與磁的現象作系統性的研究。1600年出版了物理學史上第一部系統闡述磁學的科學專著「論磁石」(De Magnete)。他從實驗結果指出,琥珀不是唯一可以經過摩擦產生靜電的物質,藍寶石、玻璃也有同樣的電學性質。吉伯提出許多有關帶電物質和磁石的特性,在電學的領域有諸多貢獻,後人尊稱他為「電學之父」,並以他的名字為磁動勢 (magnetomotive force) 的單位。

圖一 萊頓瓶
圖一:來源網址
1746年,荷蘭萊頓大學教授穆休布羅克 (Pieter van Musschenbroek) 成功的利用盛水玻璃瓶儲存電荷,並發表其實驗結果。這種用以儲存靜電的裝置,可稱為最原始的電容器,後來將其命名為萊頓瓶 (Leyden jar),如圖一所示。萊頓瓶曾被用作電學實驗的供電來源,也是電學研究的重大基礎。萊頓瓶的發明象徵著對電的本質和特性進行研究的開始,大大促進了當時的電學實驗。
1753年,為了知道靜電的存在,英國物理學家坎頓 (John Canton) 製作了一種檢測物體是否帶電以及粗略估計帶電量大小的儀器,如圖二所示。當被檢驗物體接觸驗電器頂端的導體時,自身所帶的電荷會傳到玻璃鐘罩內的箔片上。由於同種電荷相互排斥,箔片將自動分開,張成一定角度。根據兩箔片張成角度的大小可估計物體帶電量的大小。這驗電器 (electroscope) 可稱為電量量測儀器之原點,它的出現使電量的定量量測實驗成為可能。

圖二 驗電器
圖二:來源網址
關於電的研究發展,真正對後來比較有影響的實驗,首推1752年美國出名的科學家富蘭克林 (Benjamin Franklin) 將風箏放入雷雨天空的創舉。他將空中的閃電吸引過來,從而證實了閃電是電的一種現象,成為一個古今聞名的劃時代實驗。
1785年,法國物理學家庫侖 (Charles Augustin de Coulomb) 利用絹絲扭力天平(torsion balance) 做實驗,精密地量測出兩個帶電球體之間的彼此作用力與距離平方成反比,即庫侖定律。從此,電的研究已提升成為一種精確的科學。
1791年,義大利醫生伽伐尼 (Luigi Aloisio Glavani) 發現,若將青蛙腿通予靜電,則青蛙肌肉會顫動。這實驗演示出,神經細胞倚賴電的媒介將信號傳達到肌肉。不久之後,義大利實驗物理學教授伏打 (Count Alessandro Volta),重複並檢驗了伽伐尼的實驗,提出電流傳導是通過伽伐尼在試驗中用來連接神經和肌肉的金屬線產生的,而後發現金屬之間會產生電流,繼而發明以銅片和鋅片浸於食鹽水中並接上導線所製成的第一個電池;此種能夠連續不斷的供給穩定電流的電池,可稱是現代電池的鼻祖。
1820年,丹麥物理學家奧斯特 (Hans Ørsted) 偶然發現,導線上的電流會產生作用力於指南針,使磁針方向偏轉,顯示出電流周圍會產生磁場,即電流的磁效應。稍後,法國化學家安培 (André Marie Ampère) 馬上著手研究,很快就報告了實驗結果:通電的線圈與磁鐵相似;又兩根載流導線存在相互影響,相同方向的平行電流彼此相吸,相反方向的平行電流彼此相斥等安培右手螺旋定則。幾個月之內連續發表了電磁相關理論,確立電力學的理論,即迴路中電流在電磁場中的運動規律-安培定律。他們二人的研究成果將電與磁現象連結在一起,共稱為「電磁現象」。當發現電流的磁效應之後,以前被認為互不相干的電和磁有了關聯,科學家們開始研究其逆效應-磁是否會產生電?
1821年,愛沙尼亞德裔醫師及物理學家塞貝克 (Thomas Johann Seebeck) 發現兩種不同金屬組成閉合迴路且結點處溫度不同時,指南針的指針會發生偏轉。當時塞貝克並沒有發現金屬迴路中的電流,認為是溫度差使金屬產生了磁場,所以把這個現象叫做「熱磁效應」。後來,奧斯特重新研究這個現象並稱之為「熱電效應」。由溫差產生電壓的熱電效應不只可用來量測溫度或加熱物體,同時也確定了電壓和電流有相關的概念。
1827年,德國物理學家歐姆 (Georg Simon Ohm) 發現了電阻中電流與電壓的正比關係,即著名的歐姆定律。他從熱傳導定律中導熱桿中兩點間的熱流正比於這兩點間的溫度差,去推論電流現象可能與熱傳導相似,認為導線中兩點之間的電流也正比於這兩點間的電動勢。他證明了導體的電阻與其長度成正比,與其橫截面積和傳導係數成反比;以及在穩定電流的情況下,電荷不僅在導體的表面上,而且在導體的整個截面上運動。而後有今日電量量測的基本公式歐姆定律的出現。
1831年,英國物理學家法拉第 (Michael Faraday) 與美國科學家亨利 (Joseph Henry),各自發現了電磁感應 (electromagnetic induction),即當磁場發生變化時,在其附近封閉的線圈上會產生電流。電磁感應是電量量測史上最重要的發現之一,而檢流計 (galvanometer) 在這項發現中扮演不可或缺的角色。兩年後,英國物理學家克里斯蒂 (Samuel Hunter Christie) 應用檢流計發明了惠斯登電橋 (Wheatstone bridge) 雛形。到了1843年,由惠斯登 (Charles Wheatstone) 改進成一種量測工具,用來精確量測未知電阻器的電阻值。在這之後,也陸續開發了動圈式、動鐵式、電流式等各種電量量測儀器。
1864年,蘇格蘭理論物理學家和數學家馬克士威 (James Clerk Maxwell),將「電流產生磁場」及「變化磁場在封閉線圈內產生電流」等現象加以整合,提出馬克士威方程組,並且推導出電磁波方程式。在他所發表的論文「電磁場的動力學理論」中,提出電場和磁場都以波的形式在空間中移動,由於計算出來的電磁波速度與量測到的光速相等,他大膽預測光波就是電磁波;光學和電磁統一的理論也預測電磁波的存在。1887年,德國物理學家赫茲 (Heinrich Hertz) 首先用實驗證實了電磁波的存在,成功製成並接收到馬克士威所描述的電磁波。
1833年,德國物理學家韋伯 (Wilhelm Eduard Weber) 與高斯 (Johann Carl Friedrich Gauss) 合作,研究出第一台電磁電報機。而後韋伯於1846年至1878年間在電磁學量測方法上有深入的研究,陸續發明了可量測地磁強度和電流強度的雙線電流表、可量測交流電功率的電功率表,以及量測地磁強度垂直分量的地磁感應器。
1859年,德國物理學家普呂克 (Julius Plücker) 在真空管兩端的電極之間加上高壓電,製成陰極射線;陰極射線是以直線傳播,但其傳播方向會被磁場偏轉。日後諾貝爾物理學獎得主布勞恩 (Karl Ferdinand Braun) 成功地改良了後來安裝在影像管或電視機裏的陰極射線管。
19世紀早期見證了電磁學快速蓬勃的演進。到了後期,美國科學家應用電磁學的先進知識,使電機工程學開始有了突破性的發展。如1876年由貝爾 (Alexander Graham Bell) 發明的電話,1878年愛迪生 (Thomas Edison) 發明的感應電動機、交流電力系統、霓虹燈及日光燈。另一方面,在相同年代的德國,發明家及企業家西門子 (Ernst Werner von Siemens) 也發明了發電機和昇降機。由於這些發明家所做出的貢獻,電已經成為現代生活的必需工具,更是第二次工業革命的主要動力。
1887年,德國物理學家赫茲 (Heinrich Hertz) 發現光電效應所產生的現象,另有幾位物理專家對於光電效應也作了很多理論研究與實驗。1905年,物理天才愛因斯坦 (Albert Einstein) 發表論文解釋光電效應的許多實驗數據,主張光束是由一群離散的量子組成,而不是連續性波動。如果光子擁有足夠能量會使金屬表面的電子逃逸,即造成光電效應,這個重要發現開啟了量子物理的大門。
| 名 字 | 年 代 | 國 籍 | 量 別 | SI單位 |
|---|---|---|---|---|
| André-Marie Ampère | 1775–1836 | French | electric current | ampere (A) |
| Heinrich Rudolf Hertz | 1857–1894 | German | frequency | hertz (Hz) |
| Charles-Augustin de Coulomb | 1736–1806 | French | electric charge | coulomb (C) |
| Alessandro Volta | 1745–1827 | Italian | electric potential | volt (V) |
| Michael Faraday | 1791–1867 | British | capacitance | farad (F) |
| Joseph Henry | 1797–1878 | American | inductance | henry (H) |
| Georg Simon Ohm | 1789–1855 | German | electrical resistance | ohm (Ω) |
| Ernst Werner von Siemens | 1816–1892 | German | conductance | siemens (S) |
| Wilhelm Eduard Weber | 1804–1891 | German | magnetic flux | weber (Wb) |
此外,在電磁波方面,二十世紀初葉,義大利工程師馬可尼 (Guglielmo Marconi) 成功地從英國發射無線電訊號,越過大西洋傳至加拿大。美國發明家富雷斯特(Lee De Forest) 研究出真空三極體,此項發明使電子管成為實用的電子元件,推動了無線電及其他電子行業的發展。在往後的20年中,如廣播、電視和雷達等各種電子設備不斷發展出來,使得無線電與長途電話科技不再是遙不可及的夢想。
後人為紀念這些對電磁學的發展與量測有貢獻的科學家,便以他們的名字作為電磁量的單位,其中大部份都留在國際單位制 (SI units) 裡,如表一。
電磁的單位
| 物理量 | 符號 | 國際單位制 | 電磁單位制 |
| 電荷 | q | 1 C | = (10−1) abC |
| 電流 | I | 1 A | = (10−1) abA |
| 電壓 | V | 1 V | = (108) abV |
| 電場 | E | 1 V/m | = (106) abV/cm |
| 電阻 | R | 1 Ω | = (109) abΩ |
| 電容 | C | 1 F | = (10−9) abF |
| 電感 | L | 1 H | = (109) abH |
十九世紀後期,電磁力在各領域廣為應用,於實驗的量測過程中,量化所需的單位之必要性就顯得非常重要。1874年,由英國物理學家馬克士威及克耳文勛爵 (William Thomson, 1st Baron Kelvin) 提議將電磁學單位加入1832年由德國數學家高斯所提的CGS單位制 (Centimetre-Gram-Second system,簡稱CGS制) 而延伸為CGS靜電單位制 (electrostatic units;ESU) 和CGS電磁單位制 (Electromagnetic units;EMU)。然而ESU制或EMU制中所規定的單位使用上不太方便。雖然電流單位是現行國際單位制 (SI units) 的10倍而相當實用,但電壓和電阻的單位卻小得十分不合理 (電壓單位為現行國際單位制之電壓單位伏特的10-8,電阻單位為國際單位制之電阻單位歐姆的10-9),在工業上不太適用。因此於1881年達成國際協議,把電壓的實用單位伏特定為108 EMU單位,把電阻單位歐姆定為109 EMU單位。電流的單位安培被定為EMU單位的十分之一,以保證實用電學單位的一貫制,其他電磁單位也同時改變如表二所示。但是電流單位就其本身性質而言,無法具體實現。因此,須應用間接方法從它所產生的效應,通過可量測的相關物理量複製其原級標準 (primary standard)。
電流單位-安培的定義演變和實現
1889年第2屆國際電學會議 (International Electrical Congress) 確定了根據力學單位和標準定義的歐姆、伏特等實用電學單位,定義了安培,且提出這些單位的複現方法,同時開始著手複製電流強度的原級標準。
1893年在芝加哥召開的國際電學會議中,提出所謂「國際電學單位」中之「國際安培」和「國際歐姆」,同時確定了「國際安培」的定義為:當一定電流通過白金盤中的硝酸銀液並在電量計的白金盤中1 s時間析出的銀為0.00111800 g時,此恆定電流為1國際安培。用這種方法測出的安培與以前所述的用電流強度的EMU單位所定義的安培在數值上是一致的。
隨著量測技術的發展,電學的量測技術也為電學單位的量測提供了更高精度的可能性。1908年以後發現依據上述定義所確立的實用單位與電磁現象中的單位之間有很大的差別,這些差別比量測技術所允許的誤差更大。因此,1933年第8屆國際度量衡大會 (CGPM) 一致要求採用以長度、質量、時間和一個純電學單位組成的所謂「絕對單位」來代替這些「國際電學單位」。但是,由於第二次世界大戰的關係,延遲到1948年第9屆國際度量衡大會才正式決定廢除這些國際電學單位,而採用現今使用的安培新定義。
國際單位制的電流單位-安培
1948年第9屆國際度量衡大會採用如下的安培新定義“The ampere is that constant current which, if maintained in two straight parallel conductors of infinite length, of negligible circular cross-section, and placed 1 metre apart in vacuum, would produce between these conductors a force equal to 2 × 10−7 newton per metre of length.”,譯成中文為:1安培等於二條圓形無限長且截面積可忽略之極細導線,相距1公尺平行放置於真空中,通以同值恆定電流時,使每公尺長之導線間產生2 × 10-7牛頓作用力之電流。
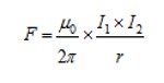
這個定義係依據電流的力效應,如圖三,在兩條無限長之平行直導線通以恆定電流的情況下,其導線間產生的作用力如以下公式:

圖三 安培的定義
圖三:來源網址

F : 每單位長度導線之間的作用力 (N)
I1和I2: 流動於兩條導線的電流 (A)
r : 兩條導線之間的垂直距離 (m)
µ : 介質的導磁率 (H/m),國際單位制表示在真空中的值µ0為
4π ´ 10-7 H/m
儘管定義上將導體規定為無限長,但在現實是不可能實現的;若選取有限長和截面積不可忽略的導線,又不能應用上述公式。換句話說,依安培的新定義而製作的電流量測標準非常難實現,因為這個定義不是規定電流量測標準的實際實現方法。實際上,電流量測標準是先確立電阻與電壓的絕對量測技術,再透過歐姆定律 (Ohm’s law) 從電阻與電壓標準來實現,以確立在電量量測上不可或缺的參考基準,即電量原級量測標準。
如前文所述,19世紀中葉以後,科學家們曾利用硝酸銀液的銀分離機確定電流單位-國際安培 (international ampere),用水銀電阻原器確定電阻單位-國際歐姆 (international ohm)。由於這兩個標準原器在進行高精密的量測時非常困難,因此以線繞電阻器和標準電池作為平常使用的次級電阻標準和次級電壓標準。而後也有人曾採用電流天平的絕對量測來實現安培標準,以及使用互感器 (mutual inductor) 的電阻絕對量測來實現歐姆標準。

圖四 鎘標準電池
圖四:來源網址
到了二十世紀,為了維持穩定的電量標準器,科學家們長期進行如圖四的鎘標準電池 (cadmium standard cell or Weston cell),以及使用錳銅合金 (manganin) 或鎳鉻合金 (nichrome) 為材料之雙圓筒繞組標準電阻的研究。之後,從事計量標準研究的專家們嘗試利用齊納二極體之標準電壓產生器作為電壓標準,並開發以交叉電容器 (cross capacitor) 的結構來計算電容量作為標準電阻。
然而這些用絕對量測方法實現電磁單位的量值,其不確定度只能達到10-6等級,不能滿足科學研究和生產的要求。因而期待用不受時間、地點、材料、尺寸、溫度等各種因素的影響,且具高再現性和穩定性的量測標準來實現電磁單位。多年來終於由這些標準原器所構成的電量標準體系被60年代發現的約瑟夫森效應 (Josephson effect) 之電壓標準與80年代發現的量化霍爾效應 (quantum Hall effect) 之電阻標準取代。
約瑟夫森效應
1962年英國物理學家約瑟夫森 (Brian David Josephson) 發現一定且普遍的物理量子效應-交流約瑟夫森效應,他原只在理論上推測電子能通過兩塊超導體間之薄絕緣層,但不到一年的時間,美國貝爾實驗室的安德森 (Philip Anderson) 和羅威爾 (John Rowell) 等人從實驗上證實了約瑟夫森所推測的量子隧道效應。此效應很快在應用上有發展,後來被採用當作電壓標準,其原理為:
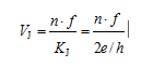
在兩塊超導體之間隔以約幾個奈米程度的極薄絕緣層,即構成一個約瑟夫森接面 (Josephson junction;JJ)。依量子力學的定律,超導電流可以穿透絕緣層而在接面內流動。當在4.2 K的超低溫下 (利用液態氨),並於絕緣層的兩端加上直流電壓V,則接面內會產生頻率為f的高頻交變超導電流,其頻率達到微波等級,如圖五。此電流的頻率f = (2e/h)V,其與兩端的直流電壓V和電子電荷量e正比,而和普朗克常數h成反比。反之,當超導約瑟夫森接面經微波照射,會產生穩定的量化電壓V,即約瑟夫森電壓VJ。

圖五 約瑟夫森效應

n : 是整數或量子數,代表約瑟夫森電壓量子階 (quantum step)
KJ: 約瑟夫森常數 (Josephson constant),等於2e/h
e : 電子電荷量1.602 176 565 (35) × 10−19 C
h : 普朗克常數6.626 069 57 (29) × 10−34 J s
f : 微波頻率(Hz)
量化電壓V可以由基本物理常數h和e的比值及頻率f的精確量測得知;而f的量測定不確定度可達到10-13以上。所以由約瑟夫森效應所得到的電壓在原則上可達到與頻率標準相近的穩定度和再現性。因此,交流約瑟夫森效應適合作為電壓標準,其不隨時間改變,而且全球採用相同的KJ,在任何地方約瑟夫森電壓都是一致的。果然世界各國也很快地採用約瑟夫森電壓為國家電壓標準。
但單個約瑟夫森接面的電壓僅數mV,相對於一般的參考電壓1 V或10 V顯得太小而不夠實用。到了1984年,德國物理技術研究院 (Physikalisch-Technische Bundesanstalt;PTB) 及美國國家標準與技術研究院 (National Institute of Standards and Technology;NIST) 利用1474個約瑟夫森接點相串聯,得到了約1伏的接點電壓,可直接與標準電池的端電壓相比較,監視直流電壓標準的穩定性。
1972年國際度量衡委員會 (International Committee of Weights and Measures;CIPM) 依據當時實驗的數據,建議各國國家計量機構 (NMI) 採用約瑟夫森常數KJ = 483 594.0 GHz/V以方便各國進行電壓標準比對。1986年CIPM的電量諮詢委員 (CCE) 成立了研究約瑟夫森效應的工作小組,該組提出一個新的約瑟夫森常數值KJ = 483 597.9 GHz/V,由於該值更能符合SI單位的相關數據,所以被國際度量衡大會 (General Conference of Weights and Measures;CGPM) 所認可。現有之約瑟夫森常數定義為KJ-90 = 483 597.9 GHz/V,一個標準差的不確定度是4 ´ 10-7;當中“90”是表示1990年生效。
量化霍爾效應
1879年物理學家霍爾 (Edwin H.Hall) 發表一個實驗,在一塊導體的x方向外加一電場時,電荷載子會在x方向運動產生電流,如果此時在垂直導體的方向 (即z方向) 外加一磁場時,此時電荷載子將受到垂直於方向y的磁力 (勞侖茲力;Lorentz force) 之影響而引起偏移,磁場愈強,偏移就愈大。偏移的結果會使電荷載子在垂直於磁場和電流方向的導體兩端之間累積,這現象就是霍爾效應 (如圖六)。這些累積起來的正負電荷彼此間會產生電場,此一在y方向產生的橫向感應電場會平衡掉勞侖茲力,使得接下來通過的電荷載子繼續走直線,不偏移地通過。此感應電場稱為霍爾電場,而橫向的霍爾電壓與縱向電流的比值稱為霍爾電阻RH。當磁場強度越大時,引發的抵銷磁力的橫向電場就越大,因此霍爾電壓 (電阻) 就越大;它們是成簡單的線性關係。起初霍爾效應僅被應用於判斷電荷載子的極性與濃度。

圖六 霍爾效應
圖六:來源網址
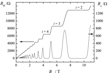
在1980年,德國科學家馮克立曾 (Klaus von Klitzing) 和他的研究團隊研究矽的金氧半場效電晶體時發現,若將電子侷限於半導體和絕緣體之間的二維異質接面處 (heterojunction),並在低溫 (絕對溫度1.5 K) 和強磁場 (18 T) 的條件下,量測這二維電子氣 (two-dimensional electron gas) 的霍爾電阻,結果電子氣體在上述極端條件下的行為和理論預測大有不同。
從微觀理論計算得到的電阻應該和外加磁場近乎成正比的關係,但實際量測到的電阻對磁場卻是呈現非線性之量子化的階梯現象;係因半導體表面的二維電子氣的蘭道能階 (Landau levels) 呈現分立效應。當電子填滿某一能階時,半導體的霍爾電阻曲線上會出現平台 (plateaus)
現象,此現象稱為量子霍爾效應 (Quantum Hall Effect;QHE)。平台發生時的縱向電阻趨近於零 (圖七),而平台處的霍爾電阻RH滿足方程RH=h/ie2,i為整數或有理分數。而即使採用不同的樣品,這些「平台電阻」的值仍以百萬分之一左右的精密度落在25 812.80歐姆上,事實上,25 812.80歐姆的出現絕非偶然,它正好是普朗克常數除以電子電荷的平方h/e2;此h/e2亦稱為馮克立曾常數 (von Klitzing constant),以RK表示。

圖七 量化霍爾效應
圖七:來源網址
由於此一精密度已經達到當時所知的基本常數之極限,又霍爾電阻值完全取決於h與e兩個基本物理常數,且不包含頻率因數,也不會因環境、時間之變化而產生飄移。因此,以量化霍爾效應建立的電阻標準之再現性和穩定度原則上是不受限制。所以整數量化霍爾效應被發現後不久,量化霍爾電阻很快地被國際公認用以維持電阻的量測標準。
1988年,由於當時作為量測標準的標準電阻器會隨著時間有所變化,且量化霍爾電阻標準已被證實其再現性和穩定度優於原有的電阻實物標準。因此,CIPM依第18次CGPM的決議,於建議用約瑟夫森效應作為電壓量測標準的同時,也建議用量化霍爾電阻標準代替舊有的電阻實物標準。並綜合了各國求得的h/e2,宣佈馮克立曾常數 (von Klitzing constant) RK的約定值 (conventional value) 為25 812.807 歐姆,以RK-90示之,其一個標準差的不確定度為2 ´ 10-7;於1990年1月1日開始生效。這種應用普朗克常數h和電子電荷e等基本物理常數實現電壓及電阻單位,其作法可說是單位定義上的一大進步。
我國的電量國家標準
1990年1月1日起,按照國際度量衡委員會的建議,包含國際度量衡局 (International Bureau of Weights and Measures;BIPM) 在內,德、美、英、法、日、瑞士等世界各國的國家計量實驗室開始以量化霍爾電阻及約瑟夫森電壓作為電量的國家標準。而後南非、加拿大、中國、澳大利亞、韓國、新加坡等國也陸續完成這兩項標準的建立。
我國國家度量衡標準實驗室在1997年完成約瑟夫森電壓,1999年完成量化霍爾電阻等兩項電量國家原級標準 (primary standard)。多年來經由電光計量實驗室同仁的努力,所建立的約瑟夫森電壓量測系統除了建立及維持國家電壓原級標準之外,同時提供直流電壓標準器與直流電壓表之追溯管道。2012年新建立的可編輯式約瑟夫森電壓量測系統 (programmable Josephson voltage standard measurement system) 的量測方法係基於可編輯式約瑟夫森晶片在低溫環境下所產生之量化電壓值,目前的量測範圍為1 mV至10 V,擴充不確定度為50 nV to 98 nV
在電阻標準方面,電光計量實驗室也建立了量化霍爾電阻標準系統 (quantum Hall resistance measurement system),為可提供直流電阻標準器之追溯管道的原級標準。該系統的量測方法係基於量化霍爾電阻元件在低溫強磁場環境下所產生之量化電阻值,經由直流電流比流電橋,由該量化電阻值求得待校電阻器之阻值。目前系統提供直流標準電阻器1 kΩ之量測範圍,其系統之相對擴充不確定度為0.08 mΩ/Ω
電量標準未來發展
雖然科學家們都知道利用電流天平最能正確地得到1安培的值,不過目前在電量領域中,仍採用透過量化霍爾效應與約瑟夫森效應的電阻與電壓原級標準來維持。而電流標準,則是透過歐姆定律並在電阻與電壓標準下實現。
相對於「兩根載以電流之平行導線之間的力」之定義而言,科學家們曾提議用基本電荷的流率來定義安培。現況的SI對電荷單位-庫侖的定義係從安培而來,即「1庫侖為導線橫截面積流有1安培穩定電流時,1秒內通過的電荷量」。因為電流可說是電荷的流率,因此1安培可以用1秒內流過1庫侖電荷的電流 (A = C/s) 定義之。
由於1 庫侖與6.241 509 3 × 1018個電子的電荷量相等,1安培也就可用「1秒內6.241 509 3 × 1018個電子流過導體的狀態」定義之。2005年,CIPM同意研究此一提議,新定義提案預計在2014年第25次CGPM中被正式提出討論。
結語
由於量化霍爾電阻標準及約瑟夫森標準的研究成果,在國際上首次從理論上證明量化電量標準的準確度比過去的量測標準器提高許多倍,量化計量標準更代表了國際計量標準的最高水準。按照國際度量衡局的要求,沒有建立量化計量標準的國家,其相應量值應向其他具有量化基準的國家追溯。因此,量化標準的建立,在為維護國家技術的主權以及科學研究的獨立性上具有重要意義。